Открытие нового маршрута для улучшения транспортного обслуживания населения. Санитарная очистка городов

Информация о транспорте » Открытие нового маршрута для улучшения транспортного обслуживания населения. Санитарная очистка городов

Страница 5

n1 = (308000/100)*0,9 = 2793 (шт.)

В микрорайонах 2, 3, 5, 6, 9, 11 необходимо сменяемых контейнеров (М – 30, М – 30А):

n2 = 204000/850*0,9 = 247 (шт.)

Выбор приемлемой марки мусоровоза и контейнеровоза и определение необходимого количество.

а) коэффициент использования массы (Км)

Км = q/ma:

q – номинальная грузоподъемность автомобиля, т.

ma – собственная масса автомобиля

- мусоровоз марки КО-413

Км = 3,3/4,6 = 0,72 (кг)

- мусоровоз марки КО-415

Км = 9,1/11,4 = 0,80 (кг)

- контейнеровоз марки М-30А

Км = 5,0/4,2 = 1,19 (кг)

- контейнеровоз марки М-30

Км = 4,0/3,6 = 1,11 (кг)

б) удельная грузоподъемность (qуд.):

qуд = q/Vk Vk – вместимость кузова

- мусоровоз марки КО-413

qуд =3,3/11,2 = 0,29 (т/м3)

- мусоровоз марки КО-415

qуд =9,1/43,2 = 0,210 (т/м3)

- контейнеровоз марки М-30А

qуд =5,0/6 = 0,83 (т/м3)

- контейнеровоз марки М-30

qуд =4,0/4,5 = 0,89 (т/м3)

в) удельная вместимость кузова на 1 т грузоподъемности (Vуд.):

Vуд = Vk/q

Таблица. Технические характеристики

Показатели

Мусоровозы

Контейнеровозы

марка КО-413

марка

КО-415

марка

М-30А

марка

М-30

Ёмкость кузова полезная, м3

11,2

43,2

6,0

4,5

Коэффициент использования массы

0,72

0,80

1,19

1,11

Удельная вместительность кузова на 1 т грузоподъёмности

3,39

4,75

1,20

1,13

Удельная себестоимость перевозки (руб/м3)

1,26

0,50

2,47

2,33

При анализе основных показателей можно выделить мусоровоз марки КО-415 и контейнеровоз марки М-30.

У мусоровоза марки КО-415 все основные показатели более выгодные, чем у КО-413.

У контейнеровоза М-30 большую роль играет показатель «удельная себестоимость перевозки», который составил 2,33 руб./м3. Остальные показатели у контейнеровозов практически не отличаются.

Ежедневная потребность в мусоровозах и контейнеровозах для вывоза твердых бытовых отходов на все население по районам (Нм)

Рсут - суточная производительность мусоровоза (контейнеровоза), м3/сут.

Кисп - коэффициент использования мусоровоза (контейнеровоза), принимается равным 0,8.

Среднесуточный объем накопления твердых бытовых отходов.

первая группа микрорайонов

Vс1 = 855,6*3*1,04/3 = 889,8 (м3/сут)

вторая группа микрорайонов

Vc2 = 772.8*3*1.04/3 = 803,7 (м3/сут)

ля определения потребного количества мусоровозов и контейнеровозов составим маршрут движения:

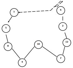
мусоровоза по 1-ой группе микрорайонов:

Рис

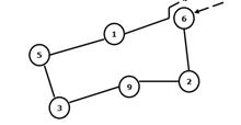
мусоровоза по 2-ой группе микрорайонов:

Рис

По 1-ой группе микрорайонов:

Протяженность маршрута (Lм) сбора бытовых отходов мусоровозом составляет 26 км (расстояние от п. 1 до п. 12).

Величина Lп (расстояние от последнего пункта погрузки на маршруте до полигона и обратно до первого пункта погрузки на маршруте, км.) составит 10 км (расстояние от п. 12 до п. 6) плюс двойное расстояние от п. 6 до полигона плюс 6 км (расстояние от п. 6 до п. 1)(Lп)

10+26+6 = 42 (км)

По 2-ой группе микрорайонов:

Протяженность маршрута (Lм) сбора бытовых отходов контейнеровозами составит 20 км включающего центры 2, 3, 5, 6, 9, 11.

Величина Lп составит 6 км (расстояние от п. 11 до п. 6) плюс двойное расстояние от п. 6 до полигона

6+26 = 32 (км)

Время пробега от последнего пункта погрузки до полигона и обратно до первого пункта погрузки на маршруте:

Tпр=Lп/Vt

Vt - средняя техническая скорость движения мусоровоза (контейнеровоза), км/ч (равна 25км/ч)

Tпр =42/25 = 1,68 (час)

- контейнеровоз

Tпр =32/25 = 1,28 (час)

Время рабочего пробега мусоровоза, включая время на выгрузку отходов из несменяемых контейнеров в мусоровоз, время передвижения мусоровоза по маршруту сбора отходов.

Страницы: 1 2 3 4 5 6 7 8

Разделы

Copyright © 2026 - All Rights Reserved - www.transpovolume.ru